生命编码背后的故事(十二)
四核苷酸
诺贝尔是在报纸上读到自己的讣告时怦然心动的。那是1888年,他才55岁。比他大两岁的哥哥那年去世。新闻界张冠李戴,争先发表为诺贝尔撰写的讣告。法国一家报纸尤为刻薄,称他是以发明最快速度杀人方法而发财的商人。
身为化学家、工程师的诺贝尔甚是郁闷。20年前,他历经20年的探索才发明可供安全使用的炸药,在采矿、建筑等民用工程中大显身手。那是为人类造福的功绩,同时自己也获利甚丰。当然,炸药也成为战争中高效率的杀人武器。诺贝尔很不愿意被如此盖棺论定,遂决定捐献出大部财富用以嘉奖在科技、文化及和平事业中为人类福祉做出显著贡献的人士。
1895年11月27日,诺贝尔在巴黎签署他曾数度改写的遗嘱,但没有公开。一年后,他因脑溢血去世。在为遗嘱的真实性争执三年多后,他遗愿中的诺贝尔基金会才在新世纪的1900年成立,开始诺贝尔奖的评选准备。
诺贝尔签署遗嘱的最后版本时,德国南部维尔茨堡大学的物理学家伦琴(Wilhelm Rontgen)正有点惊魂未定。不久前的11月8日,他偶然注意到实验室里的荧屏经常会莫名其妙地闪亮,还隐隐约约地看到其中有鬼影。惊异之下,伦琴没敢声张,只是乘没人时悄悄地检测。几星期后,他确认自己没有走火入魔。实验室里的阴极射线管在发出某种肉眼不可见的辐射,能穿越人体显现出内部的骨骼。这样的透视功能过去只会在科幻小说中出现。伦琴不知道该如何称呼这个鬼魅般的辐射,干脆借用数学中的未知数符号将它命名为“X射线”。
他随即拍摄了一系列妻子手掌的照片,其中可以清晰地看到手指内部一节节的骨头。这些照片在1896年到来时引起各地同行和媒体的极大轰动。1901年,伦琴众望所归,成为第一位诺贝尔物理奖获得者。
阴极射线管是19世纪末物理实验室和大众科学表演中的明星设备。早在伦琴之前,一些物理学家已经注意到管子附近的荧屏会无缘由地闪亮。英国剑桥大学卡文迪许实验室的主任汤姆森(Joseph John Thomson)是其中之一。
汤姆森在1884年上任时才28岁。十多年来,他大胆革新,将这个成立20多年的实验室推向物理学前沿。阴极射线管正是他关注的焦点。这种抽成真空的玻璃管两端分别设有阴极和阳极。通电后,作为阴极的金属面会发射某种射线,致使对面作为阳极的屏幕闪亮。1汤姆森极力要辨别这个射线的成分,以至于无暇顾及邻近其它荧屏也会闪亮的怪事。在错失重大发现的懊恼中,汤姆森加倍努力,终于也在伦琴发现X射线的一年多后解开阴极射线之谜:那是一种带负电的粒子束,即“电子”(electron)。
因为这个发现,汤姆森在1906年也荣获诺贝尔物理奖。
那正是物理学激动人心的年代。1908年,法国物理学家佩兰(Jean Perrin)在显微镜下仔细测量花粉的抖动,证实专利局小职员爱因斯坦的解释和预测2:布朗运动来源于液体中原子和分子的随机热运动。物理学界终于完全接受化学界已经坚持了一个多世纪的信念。原子的确是真实的存在。
汤姆森发现的电子却比化学家测定的原子要小1000倍,应该属于原子的组成部分。这样一来,原子并非德谟克利特那不可再分的基本粒子。1911年,汤姆森的学生、已经赢得诺贝尔化学奖的卢瑟福又发现原子更进一步的内在构造:与布朗看到的细胞相似,原子也有着一个极其微小的核。
当然除了原子核和细胞核有着同样的称呼,原子与细胞的结构完全没有可比之处。细胞充满着有活力的原生质(细胞质),原子却空空如也。与卢瑟福提出的原子模型可相比的是太阳系:原子就是一些电子在绕着原子核的轨道上公转。带正电的原子核与带负电的电子之间的吸引力相当于太阳系中的重力。这个直观图像从此成为一切与原子有关题材的象征性标识。
虽然简单明了,卢瑟福的模型却违反已知的物理规律,不可能实际存在。两年后,曾慕名来剑桥投师汤姆森但随后师从卢瑟福的丹麦小伙玻尔(Niels Bohr)将这个模型脱胎换骨,借助普朗克在世纪初提出的量子概念提出一套崭新的物理规则。与爱因斯坦的光电效应解释一起,玻尔这个原子模型将物理学带进20世纪的量子时代。3爱因斯坦和玻尔因而分别赢得同时颁发的1921和1922年诺贝尔物理奖。
玻尔在1913年发表的论文分为三部分,总题为《关于原子和分子的构成》4。虽然其中的原子模型与之前汤姆森和卢瑟福的尝试一样只是没有根据的猜想,他已经大胆地涉足更为复杂的分子。那是化学家的领地。
汤姆森发现的电子来自原子内部。微小、活跃的电子可以在外力作用下从原子中逸出,也能被另一颗原子捕获。这个过程终于为分子的形成和化学反应的发生提供了物理基础。
早在18世纪初,法拉第已经发觉某些液体中有着带电的粒子,即离子(ion)。它们的存在和运动是电池供电的原理。有了带负电荷的电子,离子很容易理解:中性的原子失去电子后成为带正电的离子,而获取了额外电子的原子则是负离子。由于正负电荷互相吸引,这两种离子也会结合在一起形成中性的分子。于是,化学家曾津津乐道的亲和力不过就是物理学家早已熟悉的静电力。由此形成的化学键因而叫做“离子键”(ionic bond)。
把食盐溶入水中再加上金属片作为电极就可以制作成简易的电池。盐水能导电,因为食盐就是失去一颗电子的纳与获得一颗电子的氯组成的分子“氯化钠”(NaCl)。类似的金属盐在无机化学中很常见,都属于离子键化合物。
同样是厨房里常用的调料,糖溶于水后却不导电。绝大多数有机化合物中没有现成的离子,也就不具备离子键。它们中的化学键才是“真正”的共价键。即使有了电子之后,这样的共价键还是无法像离子键那样直观地解释,仍然只能靠猜想。
在论文的第三部分,玻尔将他刚提出的原子模型推广到分子。当两颗原子距离很近时,他设想有些电子会照旧围绕各自的原子核公转,但也会有些电子转移到两颗原子核之间的新轨道上。那些电子成为两颗原子“共用”资源,即共价键。做了一些简单的估算后,玻尔发现这样的安排有着比两个原子互不相干时略低一点的总能量,证明这样的共价键的确可以维系稳定的分子。
玻尔的原子模型背弃自牛顿而始的经典物理学逻辑,全盘引进新的量子规则。物理学家在震惊之余莫衷一是,只因为这个模型能精确解释一些原有理论无能为力的实验数据才勉为其难地接受了它的合理性。相比之下,他这个分子模型更为匪夷所思,即便应用于最简单、由两颗氢原子组成的氢分子(H₂)时也与实验结果相差甚远。因此,即便原子模型轰动一时,玻尔的分子模型也无人问津。
化学家尤其不买账。已经令物理学家难以接受的量子概念对他们来说完全是天方夜谭。从道尔顿开始,化学家对原子的认识早于物理学家一个世纪,似乎也不需要后者姗姗来迟的帮忙。他们完全可以利用新发现的电子,构造自己的原子模型。
美国的化学家路易斯(Gilbert Lewis)也是在那个世纪之初描画出方方正正的“立方原子”(cubical atom)。立方体有八个顶点,正好是原子所能有的最大价数。路易斯认为原子在这个立方体的顶点上有着与其价数相等数目的电子。这些电子平时处于静止状态,仿佛为立方体站岗的哨兵。
两颗原子接近时,电子可以从一颗原子跳向另一颗原子。那便是离子键。这时候的两颗原子只是各自顶点上的电子数目有变化。它们依然互相分离,没有接触。反之,当两颗原子以共价键形式结合时,它们会共用彼此的电子。两个立方体也相应地连接起来。如果共用的是一颗电子,它们就在那颗电子所在的顶点处连接。如果共用两颗电子,相连的部位就会是两颗电子所在顶点构成的边。共用四颗电子时,两个立方体就有了一个共同的面。
与玻尔相似,化学家猜测共价键是分别来自两颗原子的电子成为共享资源的效果,电子便是德谟克利特臆想的钩子。这样的共价键因而是“共用电子对”,不会出现单数的电子。路易斯的立方体也就不会在一个顶点处相连。两个立方体有一条共同的边——共用两颗电子——是最常见的共价键。如果它们有一个共同的面而共用着四颗电子,就成为所谓的“双键”(double bond)。在二氧化碳分子里,四价的碳就是以两个双键分别与两颗二价的氧连接。
有机分子中还存在更为复杂的三键(共用六颗电子)、四键(共用八颗电子)情形。路易斯的立方体不再能通过直观的几何方式描绘出这样的共价键,只好诉诸于附加特殊记号的标注。好在那样的多重键极其稀罕,并不怎么碍事。于是,路易斯模型中的原子成为名副其实的积木块,彼此以边或面相连,搭建出越来越大的分子。这样组合而成的模型与以费舍尔投影方式画出的分子结构图相比有了更真实的立体感,可以清晰地显示分子中各个原子的相对位置和方位。分子的整体形状一目了然。
在化学家眼里,路易斯的模型简洁明了。无论多大的有机分子都能像搭积木一样逐步构造成型。相比之下,玻尔的模型中有着无法理解的电子轨道,对最简单、最小的分子已然左支右绌难以为继,毫无实用价值。
物理学家同样地对玻尔的分子模型不以为然,但对路易斯的模型则更为不屑一顾。电子不可能停留在一个点上静止不动。路易斯的立方原子简直违背了物理学的所有定律,没有丝毫合理成分。在道尔顿的一百多年后,物理学家在20世纪初终于接受了原子,与化学家达成一致的微观粒子概念。他们却依旧隔行如隔山,在分子模型上鸡同鸭讲,没有共同语言。
卡文迪许实验室在1874年的建立并非偶然。在那个年代,科学研究的模式正在发生根本性的变革。从伽利略到法拉第,物理学家一直习惯在狭小的私人实验室甚至家里做实验。他们或者自己身为有钱有闲的贵族,或者仰仗着出自那个阶层的公益资助。工业革命后,物理实验的规模急剧膨胀,超越个人单枪匹马所能驾驭。尝到甜头的新兴产业公司和政府部门也踌躇满志,意图以大笔的资金刺激更新更多的发现。在这个新形势下,欧洲大学纷纷成立能够集中、分享资源和团队协同合作的共用实验室,开辟科研、教学的新局面。剑桥的卡文迪许实验室正是新潮流中的先行者。
与人类生存、健康和日常生活联系更为紧密的生物化学界也面临同样的挑战。他们迈出的步伐更大。1887年,巴斯德在巴黎成立研究所,专门从事疫苗的研制和大规模推广。四年后,德国著名医生、微生物专家科赫(Robert Koch)也在柏林建立起传染病研究所。他们逝世后,这两个研究所分别改名为巴斯德研究所和科赫研究所,纪念各自的创始人。
大西洋彼岸的美国还没有出现能与巴斯德和科赫比肩的名家,但他们有自己的百万富翁。1901年,洛克菲勒捐款在纽约成立洛克菲勒医学研究所。这个全盘仿造巴斯德研究所和科赫研究所的机构随即成为美国第一家生物医学研究中心。它有着一个响亮的座右铭:“科学造福人类”5。
两年后,33岁的利文(Phoebus Levene)受聘担任研究所的生物化学系主任。那时的研究所还只是一个空架子。所谓生物化学系除了他这个主任外只有一位充当助理的小工。
利文出生于当时属于俄罗斯帝国的立陶宛,在圣彼得堡长大。1891年时,他身为犹太人的父母为逃避俄国的反犹浪潮举家移民,在美国独立节那天抵达纽约。22岁的利文已经医科毕业,正准备实现成为医生的梦想。在哥伦比亚大学进修化学实验时,他却因展露的才华在教授的鼓励下走上科研道路。不过他随即感染上肺结核而不得不离职,自己远赴欧洲一边休养一边镀金。在德国,他先后从师费舍尔和科赛尔学习蛋白质与核酸,也曾在米歇尔去世前居住的疗养院里养病。
好在利文的肺结核不像米歇尔那样地致命。得到洛克菲勒研究所的聘书时,他已经将在科赛尔实验室“感染”上的对核酸的热情和兴趣带回纽约,三年内连续发表近60篇论文,成为不折不扣的核酸专家。在洛克菲勒研究所,利文没有周末或假期。日复一日,他由兼职车夫的助理接送,埋头在实验室里进行核酸实验。几年之后,他终于开始理清那个让科赛尔一筹莫展的难题:核酸的组成结构。
或者说,一种核酸的组成结构。
科赛尔早就察觉从动物细胞内取得的核酸与来自酵母细胞中的核酸有所不同。前者是含有腺嘌呤、鸟嘌呤、胞嘧啶和胸腺嘧啶的“胸腺核酸”,后者是有着腺嘌呤、鸟嘌呤、胞嘧啶和尿嘧啶的“酵母核酸”。作为核酸的组成部分,这些大同小异的嘌呤或嘧啶也已经被赋予一个统称:“碱基”(nucleobase):它们都是含氮的碱性分子。植物细胞中分离出的也是酵母核酸。因此,自然界至少有着两种核酸,一种为植物和微生物共有,另一种则属于动物。
经过更为细致的分析,利文确定科赛尔在核酸中分离这些碱基后剩余的戊糖就是费舍尔早就人工合成过的一种糖。费舍尔当时曾为这个自然界不存在的糖生造过一个名字。当利文发现它其实存在于核酸中后,他沿用了费舍尔所取的名字。在中文里,这个名字被直接翻译为“核糖”(ribose)。
不过这个核糖似乎只出现在酵母核酸中。胸腺核酸剩余下的是另一种糖。利文竭尽全力也无法分离、解析那个糖的成分。曾经与他一起在科赛尔实验室进修、这时也来到洛克菲勒研究所的一位同事坚持胸腺核酸中的就是与葡萄糖、果糖相似的己糖,比核糖多出一颗碳原子。利文不为所动,却也没有更好的解释。两人因此陷入旷日持久的争执,不再能合作共事。
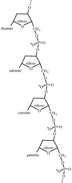
但至少酵母核酸的组成有了眉目。提取碱基后核酸的另一个遗留物是磷酸盐,表明核酸中还含有磷酸。当初,米歇尔正是因为他分离出的“核素”含有比较多的磷却没有硫而认定那是与蛋白质不同的新化学品。经过多年努力,利文终于发现这些积木块组成酵母核酸的方式:核糖中的一颗碳原子与某一个碱基——嘌呤或嘧啶——中的一颗氮原子形成共价键,将核糖与该碱基结合为“核苷”(nucleoside)分子。同时,核糖内碳环另一端的一颗碳原子与磷酸中的氧原子连接,组成一个碱基-核糖-磷酸三联环的分子。利文将它命名为“核苷酸”(nucleotide)。因为酵母核酸有着四种不同的碱基(腺嘌呤、鸟嘌呤、胞嘧啶、尿嘧啶),它相应也有着四种核苷酸。
核糖中另外的碳原子还可以再与另一个核苷酸中的磷酸组成共价键,将两个核苷酸连在一起。利文在实验中发现酵母核酸中的四种碱基总是以同样数量出现。他因此肯定酵母核酸的最基本成分是由这四种核苷酸各取其一连接而成的“四核苷酸”(tetranucleotide)。
四核苷酸中原子数目已经超过米歇尔当年测定的核素分子式,但它还不是酵母核酸。像单独的核苷酸可以互相牵手一样,四核苷酸也能彼此手拉手连成一条长链或形成环状。那才是酵母核酸。出乎米歇尔的想象,与有机分子中长长的碳链和由氨基酸连接而成的蛋白质一样,核酸其实也可以是相当大的分子。
米歇尔曾经因为他的核素分子实在太小而认定它不足以携带生命运作所需的指令信息。利文的酵母核酸虽然可以拥有与蛋白质可比的原子数量,却依然于事无补。四核苷酸在酵母核酸中只是简单重复,没有变化余地。米歇尔的结论因而依然如故:如此单调呆板的分子结构不可能携带任何复杂的密码。要寻求生命的指令信息,还是必须指望那由数量上远比碱基多得多的氨基酸所组成的丰富多彩的蛋白质分子。
当然,那与酵母核酸相异、不含核糖的胸腺核酸究竟又是如何的组成依然是一个谜。利文那时却已经无暇继续。时局在变幻,核酸和其它所有基础研究突然都失去了重要性。洛克菲勒研究所有了更为迫在眉睫的实用性任务:研制止痛药、麻醉药等急需药品。在大西洋彼岸的欧洲大陆,第一次世界大战正一触即发。
(待续)
20世纪的电视机、计算机终端、示波器等仪器中的显像设备均出自阴极射线管。
18年后,佩兰因为这一贡献获得1926年的诺贝尔物理奖。
On the Constitution of Atoms and Molecules
Scientia pro bono humani generis







哈哈。你结果忘了加进去 X 光是什么:汤姆森的电子束撞击物体发出光子,也就是光电效应倒过来。荧光灯的原理也可以顺便提到。